Zakovani spojevi predstavljaju jedan od tradicionalnih načina spajanja mašinskih elemenata, posebno u konstrukcijama gde je potrebna čvrsta i nerastavljiva veza.
Zakovani spojevi su nerastavljivi (nerazdvojivi) spojevi dva ili više mašinskih delova ili elemenata, ostvareni pomoću zakovica. Zakovica je cilindrični ili konusni element koji se uvlači kroz prethodno izbušene rupe u delovima, a zatim se deformiše (zakuje) sa obe strane kako bi se stvorila čvrsta veza. Ovi spojevi se koriste kada je potrebna visoka čvrstoća i otpornost na vibracije, ali nisu namenjeni za često rasklapanje.
Prema tehničkoj dokumentaciji, zakovani spojevi se dele na osnovu položaja limova ili delova, i koriste se u izgradnji čeličnih konstrukcija i lakih metala. Ovi spojevi su bili široko korišćeni pre razvoja zavarivanja, ali i danas imaju primenu u avijaciji i brodogradnji.
Zakovice se razlikuju po obliku glave, materijalu i načinu zakivanja. Osnovne vrste su:
Zakovice sa polukružnom glavom: Najčešće korišćene, pružaju dobru čvrstoću.
Zakovice sa ravnom glavom: Koriste se kada je potrebna ravna površina.
Zakovice sa upuštenom glavom: Za spojeve gde glava ne sme da viri iz površine.
Slepe zakovice (pop zakovice): Koriste se za spajanje sa jedne strane, idealne za zatvorene konstrukcije.
Zakovani spojevi se dele:
Slika 1. Vrste spojeva zakovicama
Prema načinu postavljanja sastavaka razlikujemo: sučeoni i preklopni zakovani spoj. Sastavci se kod sučeonog spoja spajaju celom površinom, a kod preklopnog samo krajevima. Ako je potrebno preneti veće opterećenje, dodaje se podmetač (traka) izmedju spojenih površina.
Zakovice se postavljaju u jedan ili više redova, pa spojevi mogu biti jednoredni i višeredni, zavisno od opterećenja. Raspored zakovica u redovima može biti paralelan ili naizmeničan.
Prema broju ravni u kojima bi zakovica mogla biti izložena smicanju, pri nedovoljnom otporu klizanja, zakovice se dele na: jednosečne, dvosečne i višesečne.
Prema načinu formiranja veze, zakovani spojevi mogu biti ‘na hladno’ (zakovice prečnika do 9mm) i ‘na toplo’ (zakovice većeg prečnika). Kod zakivanja u toplom stanju, zakovica se zagreva pre zakivanja na temperaturu ‘crvenog žara’ (oko 1000 stepeni), pa se hladjenjem zakovica skuplja i stvara napregnutu zakovanu vezu (izmedju zakovanih površina se sila trenja suprotstavlja opterećenju).
Slika 2. Postupak formiranja zakovanog spoja
Materijali za zakovice moraju biti lako deformabilni i otporni na koroziju:
Čelik: Najčešći, za konstrukcije poput mostova.
Aluminijum: Za lakše konstrukcije, poput aviona.
Bakar ili mesing: Za dekorativne ili električne primene.
Delovi koji se spajaju obično su od limova ili profila istog materijala kako bi se izbegle galvanske korozije.
Kod proračuna zakovanih spojeva razlikujemo nenaponsku i naponsku vezu.
Kod nenaponske veze može (usled dilatacija uzrokovanih mehaničkim i termičkim opterećenjima) doći do pomeranja spojenih ploča jedne u odnosu na drugu. Ovo je naročito izraženo kod spojeva raličitih materijala.
Zakovice u takvim spojevima su opterećene na smicanje i površinski pritisak u kontaktu zida tela zakovice i rupe (zgnječenje materijala oko zakovice). U retkim slučajevima ekcentričnih opterećenja, zakovica može biti opterećena i na izvlačenje, ali je to tema kojom se nećemo baviti.
Slika 3. Opterećenje nenaponske zakovane veze
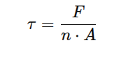
Sila koja pooprečno deluje na zakovicu, prouzrokuje napon smicanja:
gde je n – broj zakovica A- poprečni presek zakovice. Ako uvedemo broj ‘sečnih’ površina i, i dozvoljeni napon smicanja zakovice, možemo sračunati dozvoljenu silu opterećenja nenaponskog zakovanog spoja kao:
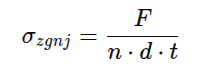
Materijal oko zakovice je opterećen na pritisak (zgnječenje) kao i samo telo zakovice, pa se mora proveriti da li ova sila ne prelazi dozvoljeni napon σdoz
Treba još napomenuti da zakovani (naročiti nenaponski) spoj oslabljuje materijal zbog rupa za zakovice pa je zakovana ploča podložnija kidanju zbog smanjenog poprečnog preseka, o čemu treba voditi računa kod izbora broja zakovica (n) i poprečnog preseka (d). U Tabeli 1 su dati neki preporučeni prečnici zakovica na osnovu debljine lima
Debljina lima t (mm) |
Prečnik zakovice d (mm) |
|---|---|
1,0–1,5 |
3–4 |
2,0–2,5 |
5–6 |
3,0–4,0 |
6–8 |
Tabela 1. Preporučeni prečnici zakovica za debljinu lima
Prečnik
zakovice se može i sračunavati iz empirijske formule
i onda se zaokruži na prvu veću standardnu vrednost.
Rastojanje izmedju dve susedne zakovice se naziva korak (e) i on se kreće u rasponu e = (2 – 6) d.
Rastojanje zakovice od ivice ploče amin = (1,5 – 4) d
Kod višeredih veza, rastojanje redova je a1 = (3 – 6) d
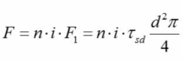
Kad je spoj ostvaren naponskom vezom, sastavci ne klizaju, već su čvrsto pritisnuti jedan na drugi, pa se sila trenja suprotstavlja poprečnoj sili F čiji je intenzitet dat izrazom na Slici 3. Ovim se obezbedjuje nepropusnost spoja (npr. kod rezervoara, sudova pod pritiskom, i sl.)
Slika 3. Proračun naponske zakovane veze
Zakovani spojevi se koriste u:
Građevinarstvu: Mostovi (npr. Golden Gate), tornjevi (npr. Eiffelov toranj).
Mašinstvu: Kotlovi, rezervoari, avioni, brodovi.
Železnici: Vagone, lokomotive.
Danas su delimično zamenjeni zavarivanjem, ali ostaju važni za reparacije i lakše materijale.
Prednosti:
Visoka čvrstoća i otpornost na vibracije.
Jednostavna izrada, ne zahteva specijalnu opremu.
Mogućnost spajanja različitih materijala.
Tesnost u spojevima za tečnosti.
Nedostaci:
Nerastavljivi, teško rasklapanje.
Osлаblјivanje materijala bušenjem rupa.
Veći troškovi za velike konstrukcije.
Osetljivost na koroziju ako nisu zaštićeni.