Relativne deformacije kod istezanja i smicanja

(Modul elastičnosti i klizanja, Poasonov broj)


Kod aksijalnog naprezanja dolazi do promene dužine i prečnika štapa (epruvete), kao što se vidi na slici 1


Slika 1. Aksijalno naprezanje štapa


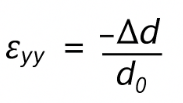
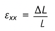
U ovom slučaju, štap se izdužuje za ΔL dok mu se prečnik smanjuje za Δd. Relativne uzdužne i poprečne deformacije su date formulama


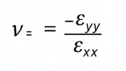
Odnos poprečne i uzdužne deformacije se naziva Poasonov broj


i on se kreće u granicama 0-0.5. Za metale je tipično 0,3-0,35


Kod smicanja, posmatramo dejstvo dve suprotne sile jednakog intenziteta koje su malo pomerene u pravcu delovanja kao na slici 2



Slika 2. Smicanje štapa


Usled delovanja sila koje vrše smicanje, dolazi do deformacije klizanja. Ako su sile razmaknute za rastojanje a, u poprečnm pravcu od delovanja sila, materijal se pomeri (kliza) za dužinu AA’ pa je (za male uglove):



Slika 3. Ugao klizanja


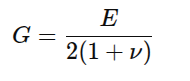
Obzirom da Hukov zakon klizanja kaže da je ugao klizanja proporcionalan tangencijalnom naponu smicanja, može se izvesti relacija



gde je G – modul klizanja. Modul klizanja je u vezi sa modulom elastičnosti (E)