Do sada smo učili o pojedinačnim naprezanjima:
zatezanje i pritisak (aksiјalno naprezanje)
smicanje
savijanje
uvijanje (torzija)
U praksi se retko događa da na element deluje samo jedno naprezanje. Mnogo češće se javljaju složena naponska stanja i posebna pojava – izvijanje.
Slika 1. Izvijanje štapa pod aksijalnim opterećenjem
Definicija:
Izvijanje
je pojava naglog bočnog izvijanja štapa opterećenog pritisnom
silom, pri čemu dolazi do gubitka ravnoteže i stabilnosti, iako
naponi u preseku još nisu dostigli granicu čvrstoće.
🔹 Javlja se kod: dugih i vitkih štapova opterećenih pritiskom (npr. stubovi, stubići mostova, ramovi mašina).
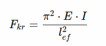
Leonhard Euler (18. vek) dao je formulu za kritičnu silu izvijanja:
E – modul elastičnosti (za čelik oko 2·10^5 N/mm²)
I – moment inercije preseka
lef – efektivna dužina štapa (zavisi od oslonaca)
👉 Značenje: ako pritisna sila pređe Fkr, štap gubi stabilnost i izvija se.
Vitkost štapa: odnos dužine i poluprečnika inercije preseka
Način oslanjanja (ugnježden, slobodan, uklješten)
Materijal (modul elastičnosti)
Oblik preseka (npr. cevasti profili otporniji su na izvijanje od punih šipki istog preseka).
U
realnim konstrukcijama često deluje više naprezanja
istovremeno.
Primeri:
osovina automobila – istovremeno uvijanje i savijanje
zakovica – istovremeno aksijalno zatezanje i smicanje
zid rezervoara – obodno i uzdužno zatezanje
Kada se u jednoj tački tela javljaju dva ili više nezavisnih napona → složeno naponsko stanje.
Analiza ovih stanja je važna jer materijal puca kada kombinacija napona pređe određenu granicu.
Zakovice i vijci – zatezanje + smicanje
Osovine – savijanje + uvijanje
Tanki zidovi pod pritiskom – obodno + uzdužno naprezanje
U realnoj konstrukciji štap ne samo da trpi pritisak (koji izaziva izvijanje), već istovremeno mogu da deluju i moment savijanja, smicanje ili torzija. Zato je kod projektovanja važno uzeti u obzir i stabilnost i kombinaciju napona.
Izvijanje je problem stabilnosti, a ne čvrstoće.
Složena naponska stanja javljaju se kada na element deluje više različitih napona odjednom.
Inženjer mora da proveri oba kriterijuma: da li je element dovoljno čvrst i da li je stabilan.