Evo nekoliko zadataka koji se odnose na podešavanje parametara alata za kompjuterski upravljane strugove (CNC tokarske mašine), zajedno sa rešenjima:


Zadatak 1: Brzina rezanja za tokarski nož

Materijal koji se obrađuje je čelik C45, a prečnik obratka je D=50mm. Preporučena brzina rezanja je vc=120m/min. Izračunaj brzinu obrtanja obratka n.

Rešenje:


Formula za brzinu obrtanja obratka:







Odgovor: Brzina obrtanja obratka je n≈764obrt/min.


Zadatak 2: Posmak i vreme obrade

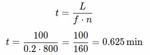
Cilindričan obradak prečnika D=60mm i dužine L=100mm treba se obraditi u jednom prolazu sa posmakom f=0.2mm/obrt. Brzina obrtanja obratka je n=800obrt/min. Izračunaj vreme obrade.

Rešenje:
Formula za vreme obrade:







Odgovor: Vreme obrade je t=0.625min, odnosno t=37.5s.


Zadatak 3: Snaga rezanja

Za tokarski proces, sila rezanja iznosi Fc​=1500N, a brzina rezanja je vc​=100m/min. Izračunaj snagu rezanja Pc​.

Rešenje:
Formula za snagu rezanja:





Odgovor: Snaga rezanja je Pc​=2500W, odnosno 2.5kW.


Zadatak 4: Dubina rezanja i volumen materijala

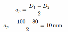
Obrađuje se cilindričan obradak dužine L=150mm sa početnim prečnikom D1​=100mm na završni prečnik D2​=80mm. Izračunaj:

  1. Dubinu rezanja ap​,

  2. Zapreminu uklonjenog materijala.

Rešenje:

Dubina rezanja:





Zapremina uklonjenog materijala:











Odgovor:
Dubina rezanja je ap​=10mm.
Zapremina uklonjenog materijala je V≈424115mm3 ili 424.1cm3.



Zadatak 5: Kreiranje programa za osnovnu tokarsku obradu

Obradak ima prečnik D=50mm i dužinu L=100mm. Potrebno je skinuti 5mm sa prečnika (na završni prečnik 45mm) u dva prolaza. Napiši osnovni CNC program koristeći G i M kodove za ovu operaciju.

Napomena:

G96 – Konstantna brzina rezanja (CSS - Constant Surface Speed)

Rešenje:

O0001 (Rezanje spoljnjeg prečnika obratka)
G21 (Metričke jedinice)
G90 (Apsolutno pozicioniranje)

T0101 (Izbor alata i korekcija)
G96 S200 M03 (Konstantna brzina rezanja 200 m/min, vreteno CW)
G00 X52 Z2 (Brzo pozicioniranje iznad obratka, na X=52 mm i Z=2 mm)

G01 X47 F0.2 (Grubo spuštanje na prečnik 47 mm)
G01 Z-100 F0.2 (Rezanje dužine 100 mm po Z-osi)

G01 X45 F0.2 (Dalje spuštanje na prečnik 45 mm)
G01 Z2 F0.2 (Povratak ka početku rezanja)

G97 S800 (Prelazak na konstantnu brzinu obrtanja 800 RPM)
G00 X100 Z100 (Povratak alata na sigurno rastojanje)

M05 (Zaustavljanje vretena)
M30 (Kraj programa)

Zadatak 6: Konusna obrada

Programiraj konusnu obradu na obratku. Početni prečnik je D1​=40mm, završni prečnik D2​=30mm, a dužina konusa L=50mm.

Rešenje:

O0002 (Program za konusnu obradu)
G21 (Postavljanje u metričke jedinice)
G90 (Apsolutni način pozicioniranja)

T0101 (Izbor alata i korekcije)
G96 S150 M03 (Konstantna brzina rezanja 150 m/min, start vretena CW)
G00 X42 Z2 (Brzo pozicioniranje na početak obrade)
G01 Z0 X40 F0.2 (Pozicioniranje na početni prečnik)

G01 Z-50 X30 F0.2 (Obrada konusa do završnog prečnika)

G00 X100 Z100 (Vraćanje alata na sigurno mesto)
M05 (Zaustavljanje vretena)
M30 (Kraj programa)

Zadatak 7: Obrada žljeba

Potrebno je napraviti žljeb na obratku prečnika D=50mm širine 5mm i dubine 2mm. Žljeb se nalazi na poziciji Z=−20mm.

Rešenje:

O0005 (Program za obradu žljeba)
G21 (Postavljanje u metričke jedinice)
G90 (Apsolutni način pozicioniranja)

T0404 (Izbor alata za žljebljenje)
G97 S800 M03 (Konstantna brzina obrtanja 800 obrt/min)
G00 X52 Z-18 (Pozicioniranje alata iznad žljeba)
G01 X48 Z-20 F0.1 (Obrada do početka žljeba)

G01 X48 Z-25 F0.1 (Obrada žljeba širine 5 mm)
G00 X100 Z100 (Vraćanje alata na sigurno mesto)
M05 (Zaustavljanje vretena)
M30 (Kraj programa)