Uvod u pojam momenta inercije preseka

Moment inercije preseka predstavlja meru otpora preseka savijanju i uvijanju.
Što je moment inercije veći, element je krući, manje se deformiše pri opterećenju.

Za linijske preseke se koriste dva momenta inercije:

Postoji i polarni moment inercije preseka:

Polarni moment se koristi kod uvijanja kružnih preseka.


Opšta ideja momenta inercije

Moment inercije „meri“ kako je površina raspoređena u odnosu na osu.
Što su delovi preseka udaljeniji od ose, to više doprinose momentu inercije.

Primera radi:


Osnovni geometrijski oblici i njihovi momenti inercije

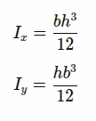
Pravougaonik (A = b × h)

Presek dimenzija:

Momenti inercije oko osa koje prolaze kroz centar preseka:

Napomena:
Kada računamo moment inercije oko ose x, kubira se visina; kada računamo oko y, kubira se širina.


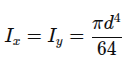
Puna kružnica (prečnik d, A = d2π/4)

Moment inercije oko osa:

Polarni moment:

IP = Ix + Iy = 2Ix

Koristi se kod zadataka uvijanja osovina.


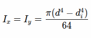
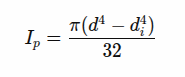
Šuplja kružnica (cevast profil)

Aksijalni momenti inercije:

Polarni moment:


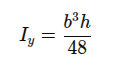
3.5. Trougao (osnovica b, visina h, A = b*h/2)

Oko osnove:

Oko težišne ose (paralelne osnovi):

Oko y-ose (prolazi kroz vrh):


Stajnerova (paralelna) teorema – osnovni princip

Ako je poznat moment inercije oko ose koja prolazi kroz centar preseka (težište),
onda je moment oko bilo koje paralelne ose:

I=I0 + A * a2

gde je:




Momenti inercije složenih preseka (T, L, U, I profili)

Za složene preseke važi jednostavno pravilo:

  1. Presek se razbije na osnovne oblike.

  2. Za svaki se uzme:

  3. Primeni se Stajnerova teorema za svaki deo:

    Ii = I0i + Ai * ai2

  4. Ukupni moment inercije:

    I=∑Ii